/El soroll
Santa Eugènia · Sant Narcís · Can Gibert del Pla · la Rodona · Güell-Devesa · Mas Masó · Hortes i ribes
dissabte, 18 abril de 2026 | 3a Època | Edició núm. 16.512 | Pla de Ter (Gironès)

Els mil i pico

: : Els mil i pico París rep els alumnes de 2n de Batxillerat de l'INS Santa Eugènia: una experiència única Fa uns dies, els alumnes de 2n de Batxillerat de l'Institut Santa Eugènia, ara ja graduats, vam fer l'esperat viatge de final de curs 2017-2018 i vam visitar París. Des d'un inici vam sortir de Girona amb il·lusió, emoció i nervis. Després d'un llarg viatge en avió i autobús vam arribar a l'hotel, on ens…

ElDimoniFotos

ElDimoniTV

Sies.tv

: : El soroll > El soroll a Santa Eugènia de Ter :: GREMA | 02·01·2002

Estudi del soroll a Santa Eugènia de Ter (II), coordinat pel Dr. Josep Arnau

GREMA de l'EPS-UdG |

6. Plànols parcials dels carrers més destacables

• Avinguda de Josep Tarradellas

Coincideixen en aquest vial diverses activitats: l’Escola d’Hostaleria, l’Escola Oficial d’Idiomes, el CAP, el Palau Firal i el mercat setmanal de la Devesa. I específicament pel que fa a l’AV, els centres educatius dels Maristes i el del col·legi de, amb tot el moviment de vehicles que suposa, a més de dues rotondes com són la de la i la de l’antic (cruïlla passeig d’Olot). El vial disposa de 2 sentits amb 2 carrils per banda de l’antic llit del. Aquest vial, des de la inauguració del pont de Fontajau, s’ha convertit en una entrada/sortida important a la ciutat de Girona, especialment pel trànsit procedent dels municipis de Sant Gregori i Sarrià.

• Passeig d’Olot

El passeig d’Olot, de dos carrils per sentit, s’ha convertit, de fet, en el vial d’entrada/sortida de la ciutat, pels vehicles procedents del municipi de Salt i de la carretera d’Olot per Anglès. [plànol esquerra]

Destaca la ramificació del carrer Montnegre amb el passeig d’Olot, fruit de l’elevat trànsit procedent del sector Mas Masó i d’alguns centres educatius instal·lats en carrers perpendiculars. [plànol dreta]

• Carretera de de Ter

La carretera de de Ter, des de sempre ha sigut un vial altament utilitzat per a l’entrada/sortida de Girona, amb la comunicació des de la plaça Marquès de Camps fins a la, Santa Eugènia i Salt. Si bé, a partir de la cruïlla de Bassegoda, la doble direcció es converteix en sentit únic, continua conservant els alts nivells de soroll.

• Avinguda de

Torna a ser un carrer conflictiu, donat que té doble sentit i absorbeix trànsit, tant procedent de la carretera de de Ter com del passeig d’Olot, alhora que s’utilitza com a vial de pas vorejant i fins a la nova zona d’expansió del polígon Mas Xirgu.

• Carrer Agudes

Sorprèn l’alt nivell de soroll, donat el seu caràcter transversal, entre la carretera de de Ter i el passeig d’Olot, però que és molt utilitzat pel trànsit que comunica ambdós vials.

7. Mesures de llarga durada (registres de 24 hores)

Els registres de llarga durada posen en evidència que el principal problema és el soroll produït pel trànsit, amb notables diferències en els intervals dia/nit, de l’ordre de 7 dBA (decibels) de diferència. En canvi, al registre núm. 28, on a més del soroll de trànsit hi ha el soroll produït per una activitat industrial, la diferència dia/nit és menys acusada, de l’ordre de 4 dBA.

8. Gràfics, histogrames i fórmules de correlació

S’ha intentat correlacionar, segons la següent taula, el soroll mesurat en els 27 punts de curta durada, amb el nombre total de vehicles, emprant primer una escala convencional i utilitzant a posteriori una escala logarítmica, donades les característiques del fenomen.

Núm. Carrer Cotxes Motos V.p. Total v. dBA %Cotxes %Motos %V.p.
01 Campcardós 8 3 0 11 62,9 72,73% 27,27% 0,00%
02 Montcalm 6 1 0 7 61,6 85,71% 14,29% 0,00%
03 Puigneulós 23 2 1 26 64,7 88,46% 7,69% 3,85%
04 Pg. d’Olot (davant escola) 273 41 20 334 75,6 81,74% 12,28% 5,99%
05 Josep Tarradellas 408 50 6 464 75,4 87,93% 10,78% 1,29%
06 Santa Eugènia (Can Ninetes) 213 40 2 255 71,9 83,53% 15,69% 0,78%
07 Pg. d’Olot (Sant Narcís) 213 16 3 232 73,6 91,81% 6,90% 1,29%
08 Riu 164 26 7 197 74,8 83,25% 13,20% 3,55%
09 Sant Sebastià 12 2 1 15 61,5 80,00% 13,33% 6,67%
10 Orient 4 1 0 5 58,5 80,00% 20,00% 0,00%
11 Montnegre 136 16 3 155 73,7 87,74% 10,32% 1,94%
12 Enric Marquès i Ribalta 3 0 0 3 54,9 100,00% 0,00% 0,00%
13 Sant Sebastià (Campcardós) 34 9 0 43 63,9 79,07% 20,93% 0,00%
14 Orient (Pavelló d’Esports) 59 14 0 73 65,5 80,82% 19,18% 0,00%
15 Montfalgars 26 6 0 32 67,5 81,25% 18,75% 0,00%
16 Agudes 77 8 1 86 70,6 89,53% 9,30% 1,16%
17 Massana (fàbrica Serra & Mota) 35 10 3 48 71,4 72,92% 20,83% 6,25%
18 Montseny 38 3 2 43 67,5 88,37% 6,98% 4,65%
19 Pg. d’Olot 212 17 9 238 77 89,08% 7,14% 3,78%
20 Massana 46 9 1 56 68 82,14% 16,07% 1,79%
21 Santa Eugènia de Ter 183 10 3 196 71,5 93,37% 5,10% 1,53%
22 Costabona 106 15 0 121 73,9 87,60% 12,40% 0,00%
23 Illa (la) 74 19 4 97 72,5 76,29% 19,59% 4,12%
24 Sant Narcís 86 6 2 94 70,5 91,49% 6,38% 2,13%
25 Santiago Rusiñol 10 1 0 11 59,9 90,91% 9,09% 0,00%
26 Pare Coll 29 6 0 35 64,4 82,86% 17,14% 0,00%
27 Mare de Déu del Remei 19 2 0 21 62,8 90,48% 9,52% 0,00%
[V.p.=Vehicles pesants; Total v.= Total vehicles; dBA=decibels; %V.p.=%Vehicles pesants]

Així mateix per conèixer la importància específica de cadascun dels carrers, s’han representat histogrames amb el soroll mesurat i el nombre de vehicles en valor absolut i percentatge.

9. Obtenció d’una expressió analítica entre tipologia de vehicles i soroll

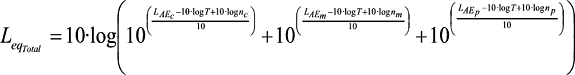
A partir de les mesures, s’han deduït el valors de LAE, que corresponen als equivalents per 1 seg., i per cada tipus de vehicle, emprant l’expressió següent:

On T és la duració de la mesura en segons i n és el nombre de successos (en el nostre cas el nombre de vehicles).

Un cop calculats, els LAE característics per l’àrea de de Ter són:

LAE / Valor / Escala en decibels (dBA)
LAE cotxes / 77,9 / dBA
LAE motos / 85 / dBA
LAE vehicles pesats / 82,5 / dBA

Prenent els valors anteriors, s’obté la influència de cada tipologia de vehicle en el global del soroll reordenant l’expressió original:

Coneixent les contribucions del tipus de vehicles, i a partir de la suma logarítmica de les expressions singulars de cadascuna d’elles, s’obté una expressió analítica que relaciona el trànsit (per tipus) amb el soroll, tal com es pot veure en l’expressió següent:

Per tal de verificar la bondat del model analític anteriorment proposat, i coneixent el nombre i tipus de vehicles en les mesures realitzades, presentem a continuació el núvol de punts de les mesures reals, comparat amb el núvol de punts dels resultats obtinguts del model analític, ambdós amb les corresponents línies de tendència.

I finalment, el model analític, prèvia fixació del nombre de vehicles pesats, permet representar les isòfones, i per tant, deduir la ràtio d’automòbils versus motocicletes, emprant els següents gràfics:

10. Modelització de zones especifíques

• Modelització genèrica sobre la base de les mesures reals

Segons les mesures realitzades en un fragment del territori, s’ha alimentat un model de planimetria vectorial i dels resultats dels nivells de soroll equivalents. Val a dir que es tracta tan sols d’una primera aproximació, que donada la complexitat del problema requeriria molt més temps i recursos.

• Modelització amb barreres al col·legi i a

Prenent com a suport l’anterior fragment de territori, s’han simulat la inclusió de pantalles al centre escolar i al centre cívic. Tal com era previsible la reducció de nivell de soroll és notable si es compara la colorimetria de l’escala que acompanya la figura.

Entre les dues imatges, sense protecció la primera i amb protecció la segona, es posa de manifest la reducció de soroll si es comparen adequadament les escales.

11. Conclusions i recomanacions [ fent clic aquí ]

Dr. Josep Arnau i Figuerola
Catedràtic d’Escola Universitària
Màquines i Motors Tèrmics
Coordinador del GREMA
Grup de Recerca en Energia i Medi Ambient

Escola Politècnica Superior
Universitat de Girona

0
Tinc més informació
Comentaris

Deixa un comentari

L'adreça electrònica no es publicarà.

El Dimoni de Santa Eugènia de Ter (Gironès)
Carrer de l'inventor i polític Narcís Monturiol i Estarriol, 2
La Rodona de Santa Eugènia de Ter · CP 17005 Gi
Disseny i programació web 2.0: iglésiesassociats
Col·laboració programació web 1.0: botigues.cat
Disseny i programació web 1.0: jllorens.net
eldimonidesantaeugeniadeter@eldimoni.com

Consulta

les primeres edicions impreses i digitals

Coneix la història
d'El Dimoni des de 1981

Publicitat recomanada

Membre núm. 66 (2003)

Membre adherit (2003)

Premi Fòrum e-Tech al millor web corporatiu
de les comarques gironines atorgat per l'AENTEG (2005)

Finalista Premis Carles Rahola
de comunicació local digital (2011)


Nominació al Premi
a la Normalització
Lingüística i Cultural de l'ADAC (2014)